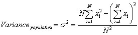
The variance is used to depict the dispersion among the measures of a given population. To find the variance, you must first find the mean of the scores, find the measurement by which each score differs from the mean, then find the square root of the difference.
In a list of 'n' numbers, the variance is the sum of the square of the differences between each number and the mean of the
population.

numeric_exp must be a number, or a numeric expression.