CONNX Data Integration Suite 14.8.0 | Reference Guide | SQL Grammar | SQL Statistical Functions | AVEDEVMEAN(numeric_exp) and AVEDEVMEDIAN(numeric_exp)
 
AVEDEVMEAN(numeric_exp) and AVEDEVMEDIAN(numeric_exp)
These functions return the average deviation from the mean (median) for the population of numeric_exp.
Description
To discern how scattered observations are about some central value, choose either the mean or the median for the central value.
If you use AVEDEVMEAN, average deviation from the mean value is one measure of dispersion. The average deviation (also known as the mean deviation) is the average absolute difference between the observed values and the arithmetic mean (average) for all values in the data set. Sometimes, the calculation is performed using distance from the median instead of the mean (see AVEDEVMEDIAN below). The term average deviation is something of a misnomer, since by definition of the mean, the sum of all deviations about the mean are zero except for possible rounding errors. The true average deviation cannot be used since that sum is always zero, which says nothing about how far the average observation is from the mean. Use the absolute value of the difference between each observation and the mean to find a correct answer.
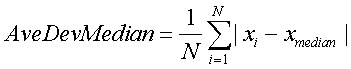
A graphical representation of the formula CONNX uses to find the average deviation mean.
We take the sum of the absolute value of all observations minus the mean and divide that sum by the number of observations (N).
If you use AVEDEVMEDIAN, average deviation from the median value is one such measure of dispersion. The average deviation (also known as the mean deviation) about the median is the average absolute difference between the observed values and the median (central value in an ordered set) for all values in the data set. For any fixed sample, choosing the median rather than some other measure of central tendency minimizes the mean deviation. Sometimes, the calculation is performed using distance from the mean instead of the median (see AVEDEVMEAN above). To calculate the average deviation of the median, use the absolute value of the difference between each observation and the median.
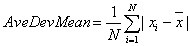
A graphical representation of the formula CONNX uses to find the average deviation median.
We take the sum of the absolute value of all observations minus the median and divide that sum by the number of observations (N).
While the mean deviation is sometimes called the mean absolute deviation, this usage is not strictly correct unless the data is categorized into bins first. For estimating population standard deviation in a normal population, the mean deviation is not as efficient as the sample standard deviation.
Parameters
numeric_exp must be a number, or a numeric expression.
Comments
Flaws exist in using this calculation. If a sample is taken and the accuracy of a process using a sample is estimated, the result is a different estimate if the sample is divided into two smaller samples and the calculation is performed on the subsamples. The amount of underestimation is not only a function of the sample size, but also a function of the probability of the distribution of the errors in measurement.
There are also some special merits in this calculation. It is not unheard of to be dealing with a distribution whose variance does not exist. In this case, all higher moments and derivative measures such as the standard deviation are useless as a measure of the data's width around its mean. Attempted calculations of the statistics using higher moments produce random results. The average deviation does not suffer from this defect but is a good measure for estimation for broad distributions with a significant number of outlier points. Higher order moments or statistics involving higher powers of the input data are less robust than lower moments or statistics that involve only linear sums or counting.